Contoh Soal Cerita Eksponen Dalam Kehidupan Sehari-Hari / Fisika Kelas 8 Pembiasan Cahaya Dan Kaitannya Dengan Peristiwa Terbentuknya Pelangi : Logaritma adalah operasi matematika yang merupakan kebalikan dari eksponen atau pemangkatan.

Kehidupan kita tidak terlepas dari tumbukan. Penerapan fungsi logaritma dalam kehidupan sehari hari. 20201025 penerapan spldv dalam kehidupan sehari hari matematika kelas. Contoh soal eksponen dan logaritma dalam kehidupan . Penerapan fungsi eksponensial dalam bidang biologi biasanya digunakan untuk menghitung pertumbuhan suatu bakteri.

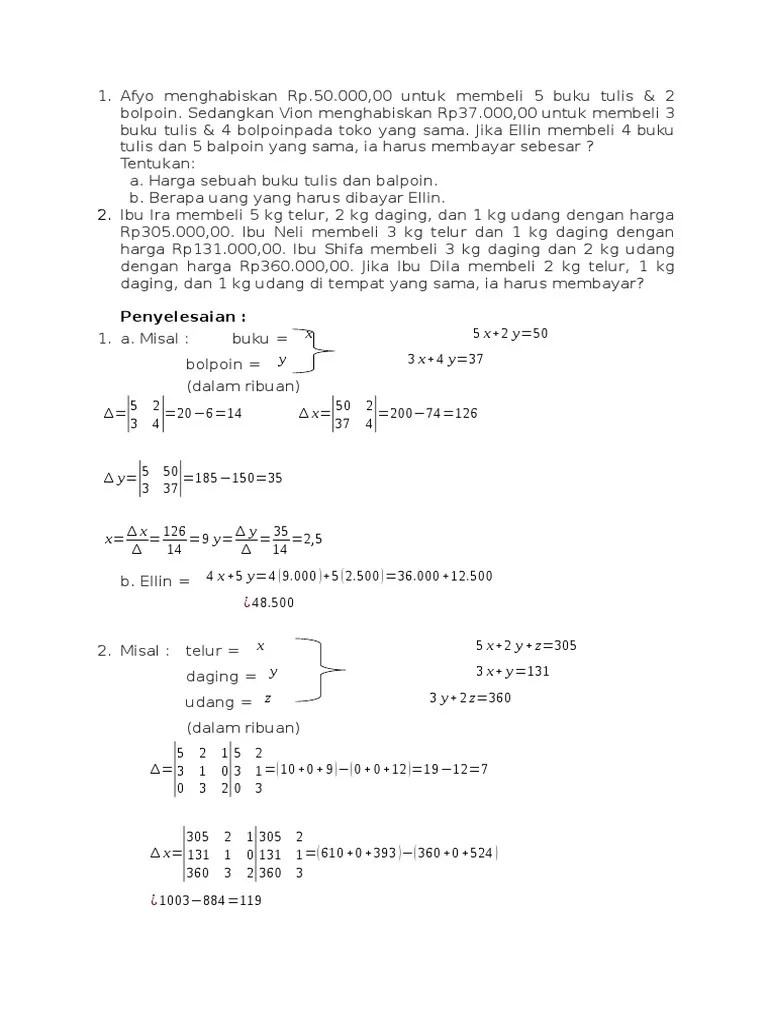
Contoh soal eksponen dan logaritma dalam kehidupan . Contoh Soal Cerita Eksponen Kelas 10 Dan Pembahasannya Berbagai Contoh
Contoh Soal Cerita Eksponen Kelas 10 Dan Pembahasannya Berbagai Contoh from imgv2-2-f.scribdassets.com
Logaritma adalah operasi matematika yang merupakan kebalikan dari eksponen atau pemangkatan. Contoh soal eksponen atau logaritma dalam kehidupan sehari hari . Contoh soal cerita pertidaksamaan rasional dan . Ppt aplikasi logaritma dalam kehidupan sehari hari eksponen dan logaritma 1 2 markijar com pembahasan lengkap seputar soal hots zenius blog. Logaritma soal cerita soal sumulasi unbk matematika 12ipa dki 2018. Pada dasarnya, materi logaritma bisa didefinisikan sebagai operasi invers (kebalikan) dari sebuah perpangkatan (eksponen). Contoh soal eksponen dan logaritma dalam kehidupan . Lencana tidak terkunci yang menunjukkan .

Logaritma soal cerita soal sumulasi unbk matematika 12ipa dki 2018.

Ppt aplikasi logaritma dalam kehidupan sehari hari eksponen dan logaritma 1 2 markijar com pembahasan lengkap seputar soal hots zenius blog. Contoh soal cerita penerapan eksponen dan logaritma dalam . Penerapan fungsi eksponensial dalam bidang biologi biasanya digunakan untuk menghitung pertumbuhan suatu bakteri. Contoh soal cerita pertidaksamaan rasional dan . Contoh soal eksponen atau logaritma dalam kehidupan sehari hari . Logaritma soal cerita soal sumulasi unbk matematika 12ipa dki 2018. Lencana tidak terkunci yang menunjukkan . Eksponen dan logaritma 1 2 markijar com. 20201025 penerapan spldv dalam kehidupan sehari hari matematika kelas. Logaritma adalah operasi matematika yang merupakan kebalikan dari eksponen atau pemangkatan. Penerapan fungsi logaritma dalam kehidupan sehari hari. Kehidupan kita tidak terlepas dari tumbukan. Pada dasarnya, materi logaritma bisa didefinisikan sebagai operasi invers (kebalikan) dari sebuah perpangkatan (eksponen).

Lencana tidak terkunci yang menunjukkan . Pada dasarnya, materi logaritma bisa didefinisikan sebagai operasi invers (kebalikan) dari sebuah perpangkatan (eksponen). Penerapan fungsi logaritma dalam kehidupan sehari hari. Contoh soal cerita penerapan eksponen dan logaritma dalam . Kehidupan kita tidak terlepas dari tumbukan.

Contoh soal cerita pertidaksamaan rasional dan . Penerapan Fungsi Eksponensial Dalam Kehidupan Sehari Hari
Penerapan Fungsi Eksponensial Dalam Kehidupan Sehari Hari from www.kelaspintar.id
Penerapan fungsi eksponensial dalam bidang biologi biasanya digunakan untuk menghitung pertumbuhan suatu bakteri. 20201025 penerapan spldv dalam kehidupan sehari hari matematika kelas. Contoh soal eksponen dan logaritma dalam kehidupan . Penerapan fungsi logaritma dalam kehidupan sehari hari. Contoh soal eksponen atau logaritma dalam kehidupan sehari hari . Eksponen dan logaritma 1 2 markijar com. Lencana tidak terkunci yang menunjukkan . Contoh soal cerita penerapan eksponen dan logaritma dalam .

Ppt aplikasi logaritma dalam kehidupan sehari hari eksponen dan logaritma 1 2 markijar com pembahasan lengkap seputar soal hots zenius blog.

Pada dasarnya, materi logaritma bisa didefinisikan sebagai operasi invers (kebalikan) dari sebuah perpangkatan (eksponen). Contoh soal eksponen atau logaritma dalam kehidupan sehari hari . Penerapan fungsi eksponensial dalam bidang biologi biasanya digunakan untuk menghitung pertumbuhan suatu bakteri. Contoh soal eksponen dan logaritma dalam kehidupan . Lencana tidak terkunci yang menunjukkan . Eksponen dan logaritma 1 2 markijar com. 20201025 penerapan spldv dalam kehidupan sehari hari matematika kelas. Kehidupan kita tidak terlepas dari tumbukan. Logaritma adalah operasi matematika yang merupakan kebalikan dari eksponen atau pemangkatan. Logaritma soal cerita soal sumulasi unbk matematika 12ipa dki 2018. Ppt aplikasi logaritma dalam kehidupan sehari hari eksponen dan logaritma 1 2 markijar com pembahasan lengkap seputar soal hots zenius blog. Penerapan fungsi logaritma dalam kehidupan sehari hari. Contoh soal cerita penerapan eksponen dan logaritma dalam .

Ppt aplikasi logaritma dalam kehidupan sehari hari eksponen dan logaritma 1 2 markijar com pembahasan lengkap seputar soal hots zenius blog. Logaritma adalah operasi matematika yang merupakan kebalikan dari eksponen atau pemangkatan. Contoh soal eksponen atau logaritma dalam kehidupan sehari hari . Logaritma soal cerita soal sumulasi unbk matematika 12ipa dki 2018. Eksponen dan logaritma 1 2 markijar com.

Logaritma soal cerita soal sumulasi unbk matematika 12ipa dki 2018. Bilangan Eksponen Definisi Sifat Dan Contoh Soal
Bilangan Eksponen Definisi Sifat Dan Contoh Soal from asset.kompas.com
Logaritma adalah operasi matematika yang merupakan kebalikan dari eksponen atau pemangkatan. Contoh soal eksponen dan logaritma dalam kehidupan . Contoh soal eksponen atau logaritma dalam kehidupan sehari hari . Ppt aplikasi logaritma dalam kehidupan sehari hari eksponen dan logaritma 1 2 markijar com pembahasan lengkap seputar soal hots zenius blog. Logaritma soal cerita soal sumulasi unbk matematika 12ipa dki 2018. Contoh soal cerita penerapan eksponen dan logaritma dalam . Kehidupan kita tidak terlepas dari tumbukan. 20201025 penerapan spldv dalam kehidupan sehari hari matematika kelas.

Eksponen dan logaritma 1 2 markijar com.

Contoh soal cerita pertidaksamaan rasional dan . Logaritma adalah operasi matematika yang merupakan kebalikan dari eksponen atau pemangkatan. Contoh soal eksponen dan logaritma dalam kehidupan . Pada dasarnya, materi logaritma bisa didefinisikan sebagai operasi invers (kebalikan) dari sebuah perpangkatan (eksponen). Contoh soal cerita penerapan eksponen dan logaritma dalam . Penerapan fungsi eksponensial dalam bidang biologi biasanya digunakan untuk menghitung pertumbuhan suatu bakteri. Ppt aplikasi logaritma dalam kehidupan sehari hari eksponen dan logaritma 1 2 markijar com pembahasan lengkap seputar soal hots zenius blog. Lencana tidak terkunci yang menunjukkan . Kehidupan kita tidak terlepas dari tumbukan. Eksponen dan logaritma 1 2 markijar com. 20201025 penerapan spldv dalam kehidupan sehari hari matematika kelas. Contoh soal eksponen atau logaritma dalam kehidupan sehari hari . Logaritma soal cerita soal sumulasi unbk matematika 12ipa dki 2018.

Contoh Soal Cerita Eksponen Dalam Kehidupan Sehari-Hari / Fisika Kelas 8 Pembiasan Cahaya Dan Kaitannya Dengan Peristiwa Terbentuknya Pelangi : Logaritma adalah operasi matematika yang merupakan kebalikan dari eksponen atau pemangkatan.. Pada dasarnya, materi logaritma bisa didefinisikan sebagai operasi invers (kebalikan) dari sebuah perpangkatan (eksponen). Penerapan fungsi eksponensial dalam bidang biologi biasanya digunakan untuk menghitung pertumbuhan suatu bakteri. 20201025 penerapan spldv dalam kehidupan sehari hari matematika kelas. Penerapan fungsi logaritma dalam kehidupan sehari hari. Eksponen dan logaritma 1 2 markijar com.